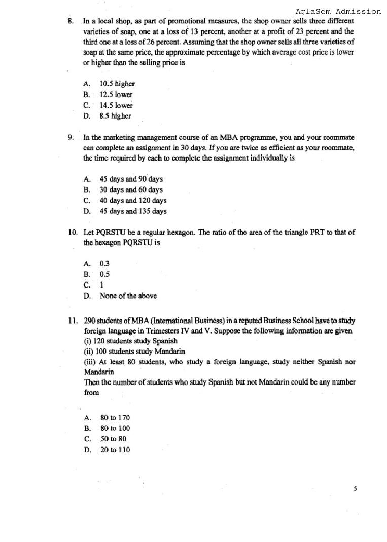
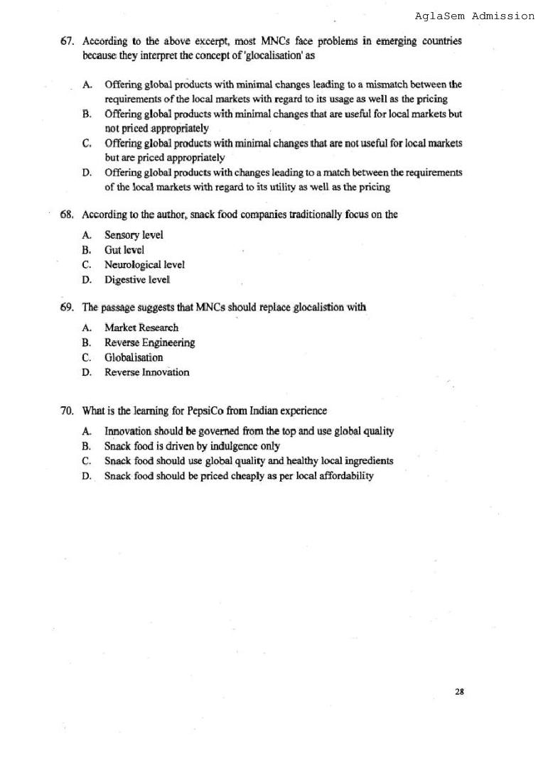
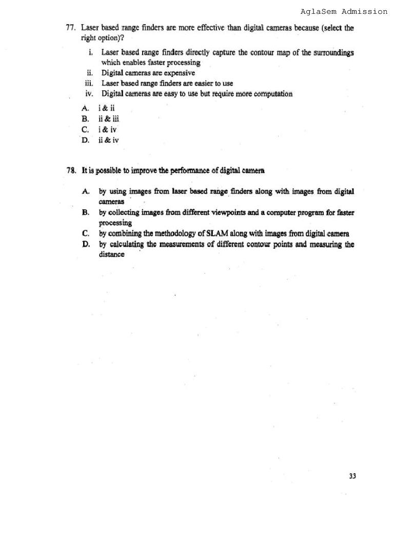
IIFT 2017 Question Paper is in four different sets, it is written at the top of the the question paper. There is negative marking scheme for wrong answers to the specific questions as indicated in the table below.
| Sections | No. of questions | Marks | Total marks | Negative Marks |
| Section 1 | 18 (Questions 1 to 18) | 0.50 | 9 | 0.17 |
| Section 2 | 20 (Questions 19 to 38) | 1.00 | 20 | 0.33 |
| Section 3 | 16 (Questions 39 to 54) | 1.00 | 16 | 0.33 |
| Section 4 | 20 (Questions 55 to 74) | 1.00 | 20 | 0.33 |
| Section 5 | 20 (Questions 75 to 94) | 1.00 | 20 | 0.33 |
| Section 6 | 20 (Questions 95 to 114) | 0.75 | 15 | 0.25 |
| Total | 114 | 100 |
IIFT 2017 Question Paper & Answer Key.
There are six sections in the question paper. Sectional Cut-Offs are applicable for each of these six sections. Candidate qualify for next level only if they secure marks above the sectional cut offs.
Time – 2 hours.
Marks – 100.













































Answer Key
Click here for answer keys.
Candidates who are preparing for the IIFT MBA Entrance Exam, must be looking for IIFT Papers. IIFT is among the top MBA colleges in India. Admission in the best B Schools is difficult, but achievable. You need hard work, and smart practice.
IIFT Exam Preparation – How to score high in IIFT Entrance Exam?
The strategy to score high in IIFT MBA Entrance Exam is a lot similar to that for CAT. You need to cover all the syllabus and solve past year papers. As the paper pattern keeps changing every year, solving IIFT Previous Year Question Papers will help you understand the IIFT pattern.
IIFT Papers
This page has past IIFT 2017 Question Paper with Answers. If you are preparing for MBA entrance exams you can go through past IIFT papers and solutions. Check the answer keys, detailed solutions and analysis for the same. To help you with your MBA preparation, we have included IIFT 2017 Question Paper with Answers for free.
IIFT 2017 Question Paper with Answers PDF contains 114 questions. The answers to all the sections are given at the end of the qs paper.
More IIFT Papers are given in the IIFT Papers with Answers main page. Link to the Past year IIFT Papers is given below.




