Kerala CEE LLM 2024 question paper is published here. You can download the Kerala CEE LLM Question Paper 2024 PDF from here on aglasem to know all the questions asked in exam. This Kerala CEE LLM previous year question paper is of the Kerala PG Law Entrance Exam held in the year 2024. It contains exact questions asked in the test by Commissioner for Entrance Examinations Kerala (CEE Kerala). If you are appearing in upcoming Kerala LLM Entrance Exam, then you can enhance your exam preparation by practicing this question paper.
Kerala CEE LLM 2024 Question Paper
The question paper of Kerala LLM Entrance Exam 2024 is as follows. Kerala PG Law Entrance Exam (Kerala CEE LLM) is the State level Law entrance exam for admission to LLM in Government Law Colleges, Private Self-Financing Law Colleges in Kerala.
Kerala CEE LLM 2024 Question Paper PDF Download Link – Click Here to Download Question Paper PDF
Kerala CEE LLM 2024 Question Paper PDF
The portable document format of the Kerala CEE LLM Question Paper 2024 is the following.
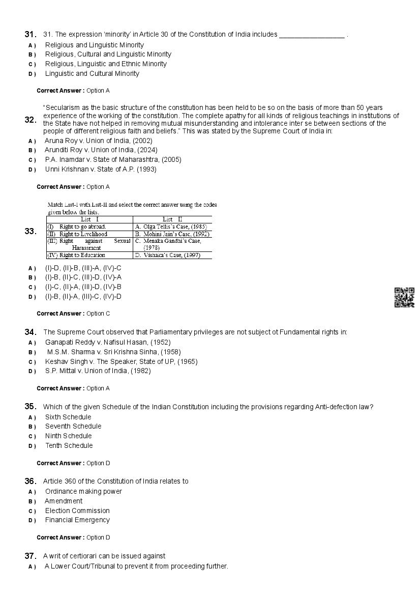
Kerala CEE LLM 2024 Question Paper with Answers View Download

































Kerala CEE LLM 2024 Question Paper – An Overview
The key highlights of this Kerala PG Law Entrance Exam (Kerala CEE LLM) 2024 question papers are as follows.
| Aspects | Details |
|---|---|
| Name of exam | Kerala CEE LLM |
| Full form of exam name | Kerala PG Law Entrance Exam |
| Study Material Here for Kerala CEE LLM exam | Previous Year Question Papers |
| Year of Exam | 2024 |
| Official Body for exam and Kerala CEE LLM 2024 Question Paper | CEE Kerala |
| Full form of organization | Commissioner for Entrance Examinations Kerala |
| Scope of Kerala CEE LLM 2024 Question Paper | State Entrance Exam |
| Exam Type of Kerala CEE LLM 2024 Question Paper | Law Entrance Exam |
| Courses for which Kerala CEE LLM 2024 Solved Paper is useful | LLM |
| Official website for Kerala CEE LLM 2024 Question Papers | cee.kerala.gov.in |
Kerala CEE LLM 2024 Question Paper with Answer Key and Solutions
While the Kerala LLM Entrance Exam 2024 question paper contains all the questions. In addition the Kerala LLM Entrance Exam 2024 answer key has correct answers of all the questions. Whereas the Kerala CEE LLM 2024 solutions has step by step solving process for these questions. Therefore if you have all these things i.e. Kerala CEE LLM question paper with answer key and solutions, then you can better prepare for the upcoming Kerala PG Law Entrance Exam.
How to download Kerala CEE LLM 2024 Question Paper?
The simple steps to download question paper of Kerala CEE LLM 2024 are the following
- Search Kerala CEE LLM 2024 Question Paper aglasem.
- Now click Kerala CEE LLM 2024 Question Paper link of aglasem.
- Then Kerala LLM Entrance Exam question paper page opens.
- Thereafter you can see Kerala CEE LLM Question Paper 2024 pdf and download here.
How to prepare with Kerala CEE LLM 2024 Question Paper
- Download the Kerala CEE LLM 2024 Question Papers pdf.
- Next, set a time slot in your Kerala CEE LLM preparation timetable to solve the keyword1} 2024 PYQP.
- Then solve Kerala CEE LLM Question Paper 2024 in set time limit.
- Thereafter check the answer keys and solutions to analyse your Kerala PG Law Entrance Exam preparation.
- Accordingly reset your Kerala CEE LLM exam preparation.
If you have any queries on Kerala CEE LLM 2024 Question Paper, then please ask in comments below.




