KEAM 2025 question paper has been published here. You can now download the KEAM Question Paper 2025 PDF from here on aglasem to know all the questions asked in exam. This KEAM previous year question paper is of the Kerala Engineering Architecture Medical held in the year 2025. It contains exact questions asked in the test by Kerala Commissioner for Entrance Examinations (CEE Kerala). If you are appearing in upcoming KEAM, then you can enhance your exam preparation by practicing this question paper.
KEAM 2025 Question Paper
The question paper of KEAM 2025 is as follows. Kerala Engineering Architecture Medical (KEAM) is the State level Engineering entrance exam for admission to B.Tech, B.Pharm in Colleges Offering Professional Degrees.
KEAM 2025 Question Paper PDF
The portable document format of the KEAM Question Paper 2025 is the following.
KEAM 2025 Question Paper Engineering with Answers View Download







































KEAM 2025 Question Paper – An Overview
The key highlights of this Kerala Engineering Architecture Medical (KEAM) 2025 question papers are as follows.
| Aspects | Details |
|---|---|
| Name of exam | KEAM |
| Full form of exam name | Kerala Engineering Architecture Medical |
| Study Material Here for KEAM exam | Previous Year Question Papers |
| Year of Exam | 2025 |
| Official Body for exam and KEAM 2025 Question Paper | CEE Kerala |
| Full form of organization | Kerala Commissioner for Entrance Examinations |
| Scope of KEAM 2025 Question Paper | State Entrance Exam |
| Exam Type of KEAM 2025 Question Paper | Engineering Entrance Exam |
| Courses for which KEAM 2025 Solved Paper is useful | B.Tech, B.Pharm |
| Official website for KEAM 2025 Question Papers | cee.kerala.gov.in |
More KEAM Previous Year Question Papers
- KEAM 2025 Question Papers
- KEAM 2024 Question Papers
- KEAM 2023 Question Papers
- KEAM 2022 Question Papers
- KEAM 2021 Question Papers
- KEAM 2020 Question Papers
- KEAM 2019 Question Papers
- KEAM 2018 Question Papers
- KEAM 2017 Question Papers
- KEAM 2016 Question Papers
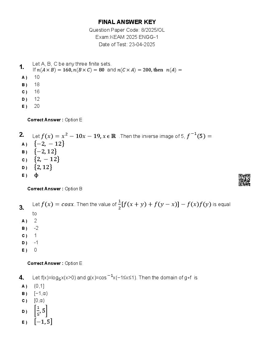
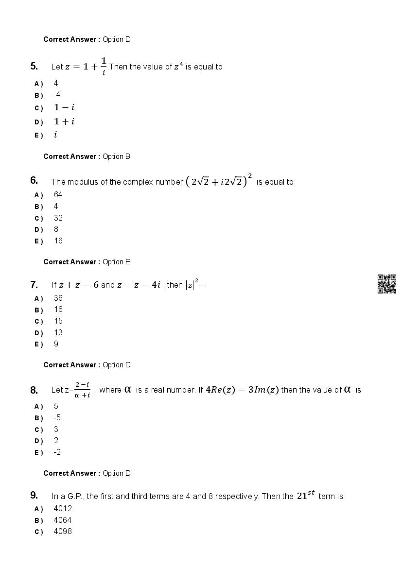
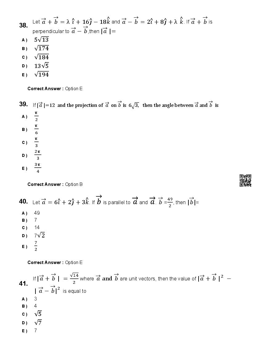
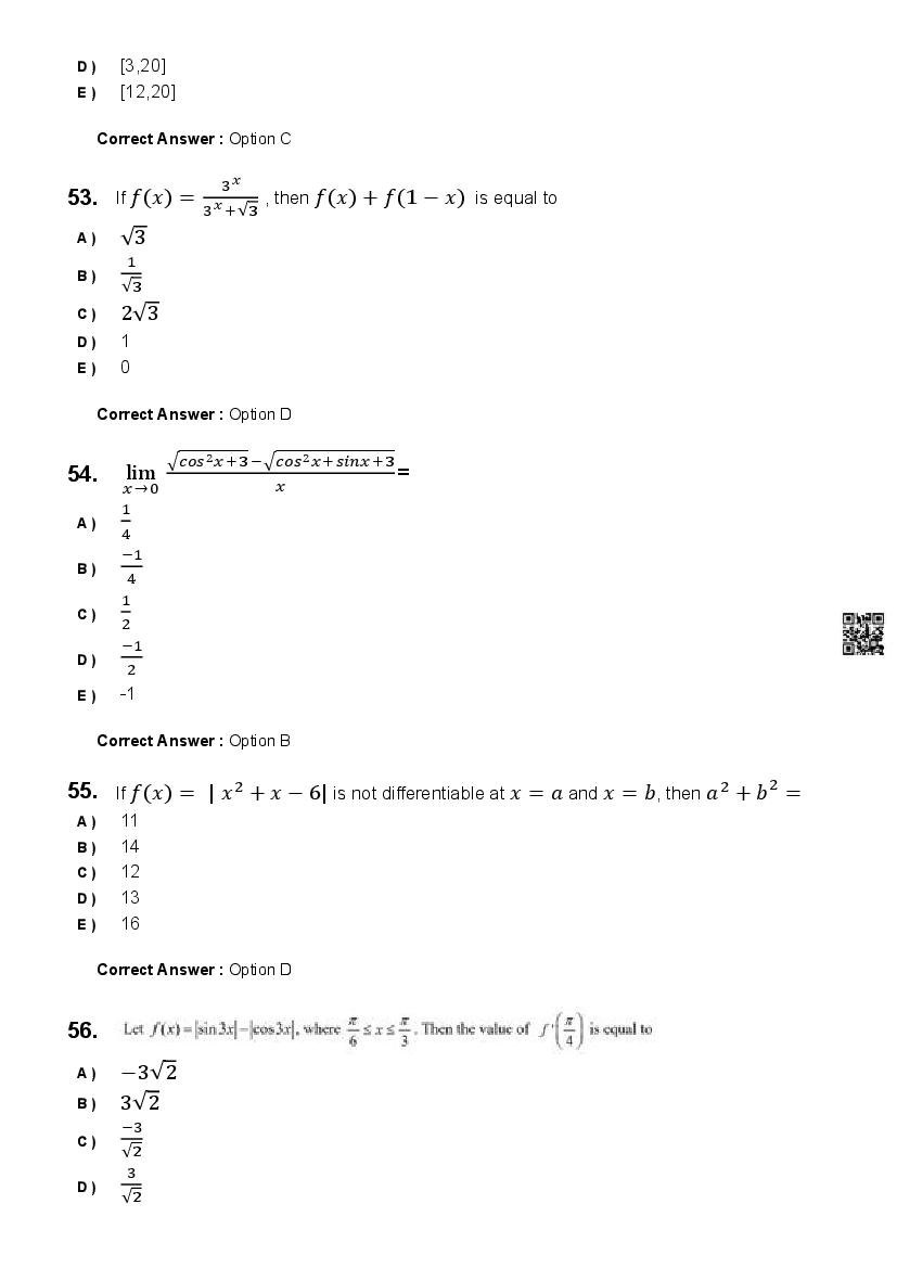
KEAM 2025 Question Paper with Answer Key and Solutions
While the KEAM 2025 question paper contains all the questions. In addition the KEAM 2025 answer key has correct answers of all the questions. Whereas the KEAM 2025 solutions has step by step solving process for these questions. Therefore if you have all these things i.e. KEAM question paper with answer key and solutions, then you can better prepare for the upcoming Kerala Engineering Architecture Medical.
How to download KEAM 2025 Question Paper?
The simple steps to download question paper of KEAM 2025 are the following
- Search KEAM 2025 Question Paper aglasem.
- Now click KEAM 2025 Question Paper link of aglasem.
- Then KEAM question paper page opens.
- Thereafter you can see KEAM Question Paper 2025 pdf and download here.
How to prepare with KEAM 2025 Question Paper
- Download the KEAM 2025 Question Papers pdf.
- Next, set a time slot in your KEAM preparation timetable to solve the keyword1} 2025 PYQP.
- Then solve KEAM Question Paper 2025 in set time limit.
- Thereafter check the answer keys and solutions to analyse your Kerala Engineering Architecture Medical preparation.
- Accordingly reset your KEAM exam preparation.
If you have any queries on KEAM 2025 Question Paper, then please ask in comments below.
